近日,厦门大学近海海洋环境科学国家重点实验室沈渊副教授为第一兼通讯作者,与美国南卡罗莱纳大学Ronald Benner教授合作在Limnology and Oceanography(L&O)发表题为“Reply to comment: Controls on turnover of marine dissolved organic matter—testing the null hypothesis of purely concentration-driven uptake”的评论文章,回应了Lennartz与Dittmar(2022)对其先前工作的评论,并进一步探讨了海洋溶解有机质的惰性成因与其分子组成特征、分子浓度之间的关系。

研究背景
海洋储藏了大量溶解有机质(DOM),其中绝大部分(>95%)难以被微生物降解利用,被称为惰性溶解有机质(RDOM)。海洋RDOM的惰性机理困扰科学界半个多世纪,并逐渐形成两个主流假说:“分子组分/结构稳定性假说”和“稀释浓度假说”。然而,关于两个假说谁占据主导的争议持续不断,且呈现愈演愈烈之势。
假说之辩
 
  
   
    
     
      50多年前,美国伍兹霍尔海洋研究所的Barber(1968, Nature)首次对“稀释浓度假说”进行验证,却发现富集后的 RDOM 依然无法被微生物所利用。
     
    
   
  
  
 
 
  
   
    半个世纪后,Arrieta等(2015,Science)提出质疑,利用固相萃取将深海 RDOM 富集到更高的倍数(2-10 倍),发现高浓度的 RDOM 促进了微生物的生长,据此推翻 Barber(1968)的结论,转而支持“稀释浓度假说”。
   
  
 
 
  
   
    2018年,沈渊副教授与美国南卡罗莱纳大学Ronald Benner教授合作,设计了一系列RDOM加富培养实验,发现仅不到1%的高浓度RDOM(10倍富集)被原微生物群落利用,实验结果不支持“稀释浓度假说”。
    
   
  
 
 
  
   
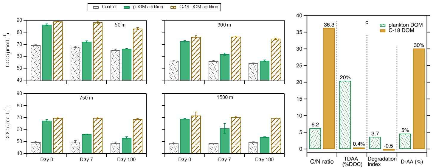
    2020年,沈渊与Ronald Benner再次合作,通过培养实验对比海洋微生物对两种浓度相似但分子组成显著差异的DOM的响应(图1)。结果发现,来自大洋不同深度的微生物能够快速利用浮游生物源DOM,但相同的微生物却难以降解深海DOM,表明DOM的生物可利用性主要受控于其组成结构等分子属性,支撑了“分子组分/结构稳定性假说”,研究成果于2020年发表在L&O期刊,累计引用近30次。
   
  
 

图1. 左图:百慕大大西洋时间序列站(BATS)培养实验中DOC浓度变化(Shen与Benner,2020);右图:pDOM与C-18 DOM的分子组分对比。(pDOM:浮游生物来源的DOM;C-18 DOM:由C-18小柱萃取收集的深海DOM)
随后,德国奥登堡大学(Universität Oldenburg)Lennartz与Dittmar(2022)在L&O期刊发表评论,通过数值模型模拟并对比沈渊与Benner(2020)的实验数据,认为该实验的结果并不一定能反映分子组成特征这一控制机理,也可以由分子浓度(即“稀释浓度假说”)来解释。
最新进展
针对Lennartz与Dittmar的评论,沈渊与Ronald Benner回复并指出Lennartz与Dittmar的数值模型仅考虑少数变量且基于许多未被完全验证的假设,模型里对两种有机底物的处理方式存在显著的不一致,模型结果的解释也有相互矛盾之处,直接或间接支持了沈渊与Benner(2020)的结论。在回复稿件中,沈渊与Ronald Benner综述了最新的研究进展,进一步佐证了海洋RDOM的惰性机理主要受控于分子组成性质,并梳理了以“分子组分/结构稳定性假说”为主导机制的海洋RDOM惰性机理。
准确认知 RDOM 的惰性机理,对于进一步了解海洋的储碳能力及其在全球气候变化中的反馈作用尤为重要。若海洋RDOM主要受控于稀释的分子浓度,则表明海洋有机碳储量可能存在某个阈值上限,反之则不然。沈渊与Benner(2020,2022)认为,复杂的分子组成和分子结构赋予了RDOM的惰性特征,暗示着我们的海洋能够继续以RDOM的形式储存有机碳,以此缓解日趋升高的大气CO2浓度。
Yuan Shen* & Ronald Benner (2022). Reply to comment: Controls on turnover of marine dissolved organic matter—testing the null hypothesis of purely concentration-driven uptake. Limnology and Oceanography, doi.org/10.1002/lno.12026
 Sinikka T. Lennartz* & Thorsten Dittmar (2022). Controls on turnover of marine dissolved organic matter—testing the null hypothesis of purely concentration-driven uptake: Comment on Shen and Benner, “Molecular properties are a primary control on the microbial utilization of dissolved organic matter in the ocean”. Limnology and Oceanography, doi.org/10.1002/lno.12028
 https://aslopubs.onlinelibrary.wiley.com/doi/10.1002/lno.12028