厦门大学海洋生物地球化学全国重点实验室、海洋与地球学院氮循环研究组在水体酸化对海洋氮循环关键过程影响机制方面取得新进展。相关成果以“Ammonia oxidizers offset acidification stress via adaptive substrate affinity in aquatic ecosystems” 为题,发表于权威期刊Nature Communications。
该研究跨越淡水水库、河口到寡营养大洋的大尺度环境梯度,开展pH和底物双因子调控实验,结合模型菌株生理实验,首次揭示氨氧化微生物可通过“主动”提升底物亲和力,补偿酸化胁迫下底物可利用性的下降,其中氨氧化古菌(AOA)的适应性显著优于氨氧化细菌(AOB)。这一新机制成功调和了传统理论与野外观测的矛盾,为预测未来酸化海洋中氮循环动态构建了关键理论框架。
研究背景
酸化影响的传统认知与现实矛盾
全球水体正经历着由大气二氧化碳浓度升高引起的快速酸化。氨氧化是氮循环的限速步骤,主要由AOA和AOB介导。经典理论认为,pH下降会降低水体中氨氧化微生物直接底物NH3的浓度,进而抑制氨氧化速率。然而,众多的野外观测存在显著差异:酸化在某些水域强烈抑制硝化作用,在另一些水域的影响微弱甚至偶有促进。这种矛盾暗示,除底物浓度变化外,微生物可能存在未被认知的主动适应策略。
研究结果
研究团队以淡水水库(山美水库)、河口(珠江口、九龙江口)至西北太平洋寡营养海区为研究区域,结合海洋AOA模式菌株(Nitrosopumilus maritimus SCM1)的纯培养实验,系统阐明了酸化胁迫下氨氧化微生物的响应规律与内在机制。
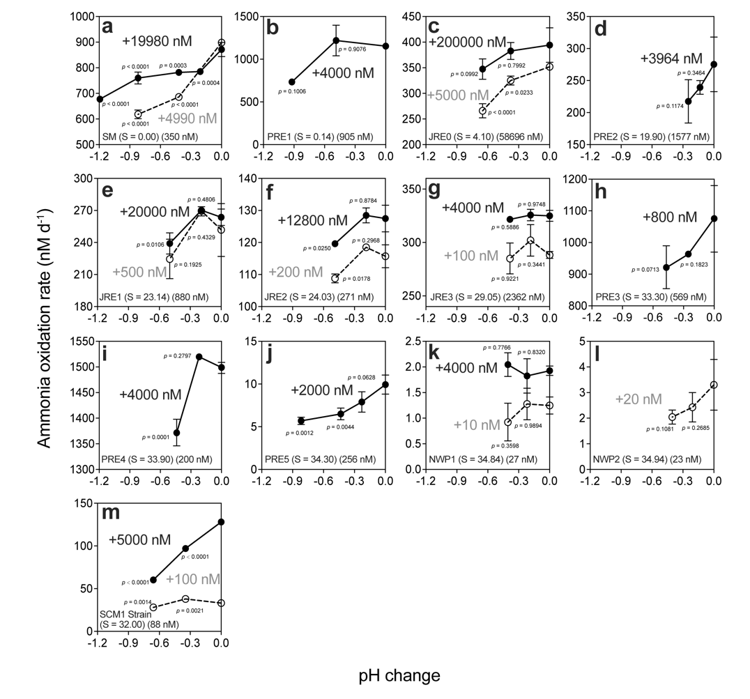
1. 揭示多样化的酸化响应模式:不同水体对酸化的响应并非单一抑制,而是呈现两种模式:(1)单调下降模式。在AOB主导的淡水系统,氨氧化速率随pH降低而单调下降。(2)非显著抑制。在AOA主导的高盐环境,适度酸化下速率保持稳定性,而酸化胁迫加剧时呈现“先升后降”的生理弹性。这些现象挑战了传统底物限制理论。

图1 低和高铵(NH4+)浓度添加水平下不同区域氨氧化速率对酸化的响应
2. 发现底物亲和力补偿是核心适应性机制:酸化虽降低了环境NH3浓度,但氨氧化微生物可通过显著提升对NH3的底物亲和力维持代谢效率,且AOA的亲和力提升幅度显著高于AOB,类似“食物不足提高觅食效率”的适应策略。

图2 不同 pH 条件下以氨(NH3)为底物的动力学参数
3. 阐明AOA与AOB的差异化适应:基因定量分析及ATU抑制实验表明,在AOA主导的高盐海区,亲和力提升足以抵消甚至超越底物减少的负面影响;而在AOB主导的淡水和低盐河口,亲和力提升不足,无法补偿底物短缺,导致速率下降。这种分化解释了野外观测矛盾的生态学根源。

图3. AOA与AOB主导区域的比较
4. 构建新模型,提升预测能力:创新性地构建兼顾“底物可利用性降低”和“底物亲和力上升”的双因子动力学模型,其预测结果与观测数据高度吻合,准确性显著优于传统单底物浓度模型。量化分析进一步证实,在AOA主导的环境中,亲和力提升的正面效应显著高于底物减少的负面效应,凸显该适应性机制的关键作用。

图4. 三种概念模型模拟酸化条件下AOA和AOB的响应
研究意义及展望
本研究首次将“底物亲和力适应性调节”机制纳入海洋氮循环对酸化的响应框架,更新了对微生物生理弹性与生态系统功能抗性的认识,为准确预测未来海洋酸化情境下氮循环路径、初级生产力以及氧化亚氮(N2O)排放等提供了重要科学依据。研究团队指出,未来需聚焦酸化、升温、缺氧等多因子耦合胁迫场景,深入探究AOA与AOB的竞争动态,并将该机制整合到地球系统模型,以提升全球变化预测精度。
n研究团队及资助
该论文第一作者为厦门大学2021级博士研究生童森炜,通讯作者为海南大学郑珍珍副研究员和高树基教授,共同作者包括厦门大学沈辉博士,海南大学韩丽丽助理研究员,厦门大学汤锦铭博士研究生和万显会教授。该研究获得国家自然科学基金项目(92058204、W2411034、42494885和42406041)的资助。童森炜和汤锦铭获得MEL优秀博士生奖学金的资助。
论文来源及链接
Senwei Tong, Hui Shen, Li-Li Han, Jin-Ming Tang, Xianhui S. Wan, Zhen-Zhen Zheng*, Shuh-Ji Kao*. Ammonia oxidizers offset acidification stress via adaptive substrate affinity in aquatic ecosystems. Nature Communications, 2026, 17: 2083.
https://doi.org/10.1038/s41467-026-68747-z
供稿 | 童森炜 郑珍珍 高树基
编辑 | 房月 苏颖
排版 | 陈蕾
审核 | 杨进宇 曹知勉