近日,厦门大学海洋生物地球化学全国重点实验室、环境与生态学院、福建台湾海峡海洋生态系统国家野外科学观测研究站朱旭东教授团队在大型海藻养殖区温室气体通量研究方面取得新进展,相关成果以“Methane emission intensifies the warming effect of carbon dioxide efflux from a subtropical coastal macroalgae aquaculture ecosystem”为题,发表于Limnology and Oceanography.
该研究在福建三沙湾大型海藻养殖区开展温室气体通量的原位高频连续观测(图1),首次获得大型海藻养殖区水气界面甲烷(CH4)通量的全年逐半小时连续观测数据,弥补了以往研究缺少高频通量观测数据的不足,揭示了CH4通量的多尺度时间变异规律及其环境控制机制,量化了CH4排放对大型海藻养殖区温室气体净辐射效应的贡献。此前,该团队已报道了同一站点的二氧化碳(CO2)通量特征,本研究进一步揭示CH4通量特征及其增温潜势,为评估大型海藻养殖区温室气体源汇动态及其气候效应提供了科学基础。
大型海藻养殖作为一种基于自然的气候解决方案已受到广泛关注,然而其生态系统CH4排放常常被低估或者忽视。这主要受限于人力和观测条件,导致难以获得CH4通量的原位连续观测数据。大型海藻养殖区CH4的产生、消耗和传输过程复杂多样,受到多种生物与非生物因子的共同调控,使得水气界面净生态系统CH4交换量(Net Ecosystem Methane Exchange, NME)存在极强的时间变异性。传统的低频观测手段难以准确刻画NME的高频波动,而涡度相关法观测可以弥补这一短板,降低大型海藻养殖区温室气体通量评估的不确定性。
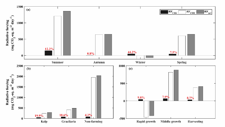
该研究利用涡度相关法在中国亚热带半封闭海湾(福建三沙湾)的大型海藻养殖区(海带和龙须菜轮养)开展了为期一年(2023年6月~2024年5月)的生态系统NME原位高频连续观测,旨在探究NME在不同时间尺度上的变化及其对净辐射强迫的贡献。结果表明:(a)生态系统在大多数月份表现为大气CH4的源,其中夏季排放量占年总排放量(0.40 g C m-2 yr-1)的三分之二(图2);(b)按百年尺度的全球持续通量增温潜势(SGWP)计算,纳入CH4使得SGWP从仅考虑CO2时的219.3 g CO2-eq. m-2 yr-1增加至243.4 g CO2-eq. m-2 yr-1,增幅达11%;(c)NME及其辐射贡献随季节、养殖类型和生长阶段而变化(图3),其时间波动主要受到温度和潮汐控制;(d)NME随潮位呈现双峰变化模式,通量峰值出现在潮位变化最快的时段。基于涡度相关法测定的高频连续观测,该研究首次证实大型海藻养殖区CH4排放加剧了CO2排放所产生的增温效应。CH4和CO2通量所呈现的强时间变异及两者的非同步变化特征,也凸显了高频连续观测对于准确评估大型海藻养殖区温室气体源汇动态及净辐射效应的重要性。

图1. 大型海藻养殖区水气界面温室气体原位高频连续观测

图2. 大型海藻养殖区CH4通量(NME)和CO2通量(NEE)多尺度时间变化

图3. 大型海藻养殖区不同季节(a)、养殖期(b)及海带生长阶段(c)CH4(RFCH4)和CO2通量(RFCO2)及两者(RFnet)的净辐射效应。其中,养殖期包括海带(Kelp)、龙须菜(Gracilaria)和非养殖期(Non-farming)。
本论文第一作者为厦门大学2025级博士生邓月婷,通讯作者为朱旭东教授,共同作者包括郭香会教授、福建省海洋研究所胡灯进副研究员、厦门大学罗辉助理工程师以及陈友淦教授。该研究获得福建省自然科学基金(2023J06008)、国家自然科学基金(32371661)等项目的联合资助。
Deng, Y., X. Guo, D. Hu, H. Luo, Y. Chen, and X. Zhu* (2025). Methane emission intensifies the warming effect of carbon dioxide efflux from a subtropical coastal macroalgae aquaculture ecosystem. Limnology and Oceanography. doi: 10.1002/lno.70293
https://doi.org/10.1002/lno.70293
供稿|邓月婷 朱旭东
编辑|朱佳
排版|陈蕾
审核|林昕 柳欣