近日,厦门大学海洋生物地球化学全国重点实验室、海洋与地球学院戴民汉教授团队在利用金属有机框架(Metal-Organic Frameworks, MOF)强化微藻光合固碳领域取得重要进展。相关成果以“Self-assembled metal organic frameworks enhance carbon fixation in Spirulina”为题,发表于Communications Materials.
人为CO₂的大量排放是引发当前气候危机的主要诱因,开发可规模化的CO₂去除技术已成当务之急,其中强化微藻光合作用是一条极具潜力的路径。本研究提出了一种靶向CO₂去除的创新策略:采用混合配体法合成具有水稳定性的伯胺功能化金属有机框架材料(ZIF-8-NH₂),并将其直接组装于一类典型微藻——钝顶螺旋藻(Spirulina platensis)表面。
鉴于ZIF-8-NH₂优异的CO₂吸附能力,其在微藻表面的原位自组装能够构建富碳微环境,促进微藻从水体中捕获CO₂并用于光合作用,从而实现对水环境中CO₂的高效去除。
微藻-金属有机框架复合体系构建
光谱学表征、实验验证及扫描电镜分析证实(图1),ZIF-8-NH₂表面的伯胺官能团能与微藻膜蛋白形成氢键。这种特异性相互作用确保了金属有机框架材料在微藻表面的稳定自组装,成功构建了“微藻@金属有机框架”复合体系。

图1. 不同放大倍数下ZIF-8-NH2在钝顶螺旋藻表面自组装的扫描电子显微镜图像、金属有机框架与微藻的自组装机制示意图、以及金属有机框架ZIF-8-NH2对钝顶螺旋藻吸收CO2作用的机制图。
金属框架对微藻固碳性能的提升
研究进一步量化了该组装体系对微藻生长的促进作用:
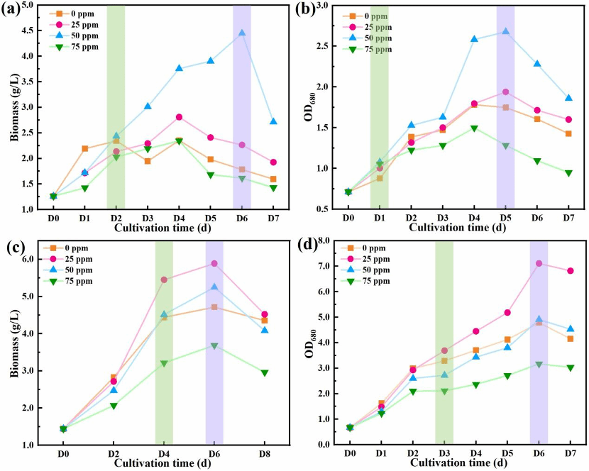
1) 生物量显著增长(图2):在无碳培养基中,修饰后的螺旋藻(S. platensis@ZIF-8-NH₂)的最大细胞干重较未修饰组提升了149%(培养第六天,在MOF投加浓度为50ppm条件下的最大细胞干重与空白相比)。
2) 固碳效率突破(图3):在无外源碳酸氢钠添加的贫碳培养环境中,修饰后螺旋藻的CO₂生物固定速率较对照组提升了93%。这一结果显示该材料能有效缓解无机碳限制对微藻生长的影响。

图2. 不同培养基中钝顶螺旋藻的细胞干重及680 nm处吸光度(OD680)随培养时间的变化。其中(a)和(b)分别为无碳培养的钝顶螺旋藻的细胞干重及OD680,(c)和(d)分别对应有碳培养的钝顶螺旋藻的细胞干重及OD680,图例为不同的MOF投加浓度。

图3. 传统(T)和改良(I)Zarrouk培养基中钝顶螺旋藻(S. platensis)及修饰螺旋藻(S. platensis@ZIF-8-NH2)最大比生长速率(µmax)与最大CO2生物固定速率(RCO2max)。
本研究通过构建“微藻@金属有机框架”仿生组装体系,解析了其自组装的机理,证实了该界面工程策略对微藻光合固碳效率的显著提升作用。上述结果不仅开辟了新型人工二氧化碳浓缩路径,也为海洋碳移除及碳封存技术的创新提供了新方案。该技术在大规模微藻培养设施中具有广阔的工业化应用前景,有望推动水生生态系统固碳向高效化、集约化与智能化方向发展。
该论文第一作者为厦门大学2023级博士生荣悦,通讯作者为戴民汉教授,合作作者包括姜源教授和林昕副教授等。
Rong, Y., Chen, J., Zhang, M., Wu, T., Jiang, Y., Lin, X. and Dai, M.*, 2025. Self-assembled metal organic frameworks enhance carbon fixation in Spirulina. Communication Material 6, 259 (2025).
https://doi.org/10.1038/s43246-025-00991-0
供稿|戴民汉课题组
编辑|朱佳 苏颖
排版|陈蕾
审核|罗亚威 万显会