2020年7月14日,期刊《自然·通讯》(Nature Communications)在线发表了厦门大学近海海洋环境科学国家重点实验室、海洋与地球学院“海洋氮循环与全球变化”创新研究群体高树基教授实验室的最新研究成果“Substrate regulation leads to differential responses of microbial ammonia-oxidizing communities to ocean warming”,该研究揭示了底物浓度(铵)除了调节海洋氨氧化速率大小,更调节了氨氧化最适宜温度,进而决定了水体氨氧化速率对暖化的响应特征是属于促进或是抑制,以当代海洋具体表现为升温促进近岸氨氧化速率而抑制远洋氨氧化速率。
氨氧化链接氮的源汇过程,也是温室气体N2O产生的主要过程之一,因此在氮循环和其潜在的气候效应当中扮演重要角色。在全球人为氮排放增加及暖化问题持续扩大的背景下,了解海洋中不同区域氨氧化速率对于海洋增暖的响应对预测海洋氮过程趋势与气候变化反馈至关重要。然而,现有海洋氨氧化的温度效应研究有限,且结果存在不一致性(促进与无效应)。通过文献调研,研究团队发现这种不一致性存在明显区域特征,推论与底物浓度以及氨氧化微生物群落的最适宜温度相关。
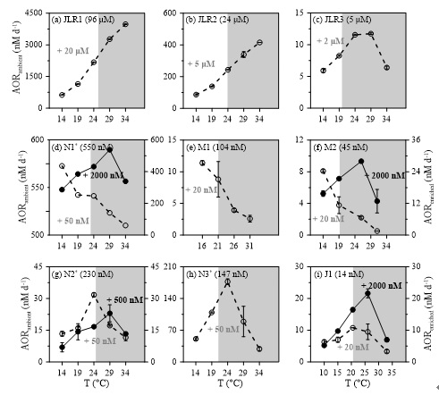
为验证假说,研究团队通过同位素示踪培养技术及温度/底物调控实验(研究区域涵盖河口、陆架、陆坡以及海盆区),测定不同底物水平下氨氧化速率对温度的响应特征,发现氨氧化微生物群落(氨氧化细菌与古菌)和底物水平共同调节氨氧化作用的速率以及最适宜温度(Topt)。从河口到海盆,伴随着底物铵浓度及氨氧化细菌对速率贡献的下降,Topt由近岸的≥34°C降低至远洋的≤14°C。与此同时,在寡营养盐站位的底物加富实验显著提高了氨氧化速率的Topt(图1),进一步证明底物浓度加富可以提升氨氧化微生物对温度的耐受性。

图1. 氨氧化速率的温度响应特征。虚线为原位浓度的响应曲线,实线为加富底物的温度响应曲线,灰色阴影区代表温度高于采样时原位温度。

图2. (a)氨氧化速率以古菌主导的J1站位和以细菌主导的JLR4站氨氧化菌的底物亲和力对温度的响应特征;(b)近岸和远洋氨氧化速率对增暖的响应特征。灰色阴影指示海表温度增幅≤4℃。
经过演算,增温对氨氧化细菌和氨氧化古菌会产生差异性影响,随着温度的增加,氨氧化古菌(以J1海盆站为例)的亲和力下降幅度显著大于氨氧化细菌(以JLR4九龙江河口站为例)(图2a),表明氨氧化古菌比氨氧化细菌对增温更为敏感,且在未来海洋暖化的趋势下,氨氧化古菌在低底物环境中的竞争优势将有所降低。此外,文章还建立了氨氧化动力学模型,精准地预测了不同底物水平的Topt改变,并在现场观测数据基础上,预测到2100年,温度增加4℃时,近岸富营养盐区域氨氧化速率将增加0.4 – 30%,而在寡营养海域,氨氧化速率将降低13 – 33%(图2b)。
该研究解决了当前海洋氨氧化对于温度响应的争议,提升了国际上对于氨氧化微生物类群与速率对于温度响应的了解,同时呼吁在生物地球化学模型参数化过程中,必须考虑不同营养盐水平下的生物地球化学循环过程对暖化的差异性响应。
该研究工作由近海海洋环境科学国家重点实验室、海洋与地球学院海洋氮循环课题组及其合作者完成,并获得了国家自然科学基金委“水圈微生物驱动地球元素循环的机制”重大研究计划和创新研究群体等项目的资助,环境与生态学院博士后郑珍珍为第一作者。
论文来源:
Zhen-Zhen Zheng, Li-Wei Zheng, Min Nina Xu, Ehui Tan, David A. Hutchins, Wenchao Deng, Yao Zhang, Dalin Shi, Minhan Dai and Shuh-Ji Kao*. Substrate regulation leads to differential responses of microbial ammonia-oxidizing communities to ocean warming. Nature Communications, 2020, DOI: 10.1038/s41467-020-17366-3.
全文链接:https://www.nature.com/articles/s41467-020-17366-3