近日,厦门大学海洋生物地球化学全国重点实验室、海洋与地球学院曹知勉教授和周宽波副教授等,在西北太平洋副热带海区分粒径颗粒物中碳、氮、磷、硅比值的分布特征与控制机制方面取得新进展,相关成果以“Size-fractionated C:N:P:Si stoichiometry of particulate matter in the subtropical Western North Pacific”为题,发表于Global and Planetary Change.
海洋生源颗粒物主要源自浮游植物的初级生产,是碳(C)、氮(N)、磷(P)、硅(Si)等元素向深海输送的重要载体,通常具有较为一致的元素组成。其中,C:N:P比值约为106:16:1,C:Si比值约为106:15,分别被称为Redfield比值和Brzezinski比值,是海洋生物地球化学研究的理论基础和重要工具。本研究基于GEOTRACES-GP09航次(图1),在西北太平洋副热带海区布放原位大体积泵采集了500米以浅的分粒径(0.8-51 µm和>51 µm)颗粒样品。通过分析样品的颗粒有机碳(POC)、颗粒氮(PN)、颗粒磷(PP)和生源硅(BSi)浓度,揭示了颗粒C:N:P:Si比值的空间变化和粒径分异,并探究其控制机制。
图1. GEOTRACES-GP09航次分粒径颗粒物采样站位
西北太平洋副热带海区真光层中,总颗粒物(>0.8 µm)C:N、C:P、N:P比值的平均值分别为8 ± 1、146 ± 30、17 ± 3 mol:mol,随着深度增加逐渐升高;而总颗粒物C:Si比值的平均值为120 ± 48 mol:mol,随着深度增加先降低后趋于稳定。大粒径颗粒物的C:N:P比值普遍高于小粒径颗粒物,两者的平均值均高于Redfield比值;而C:Si比值则表现为小粒径颗粒物高于大粒径颗粒物,两者的平均值均高于Brzezinski比值(图2)。
图2. 上层500米水柱中颗粒C:N、C:P、N:P、C:Si比值的垂直分布。SSF:小粒径颗粒物(0.8-51 μm);LSF:大粒径颗粒物(>51 μm);Total:总颗粒物(>0.8 μm)
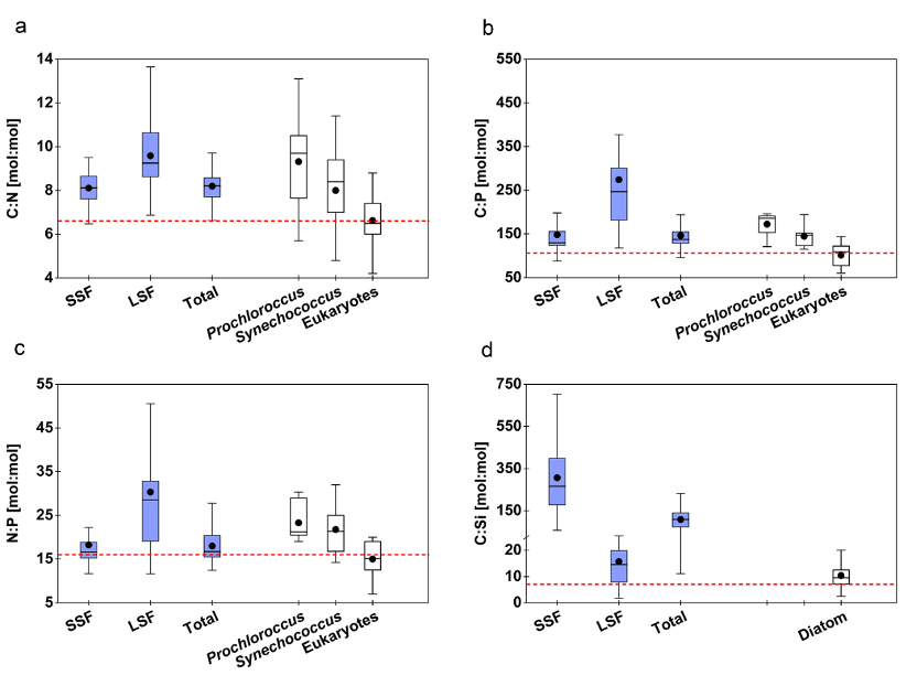
进一步分析表明,小粒径颗粒物的C:N、C:P、N:P比值与实验室培养的原绿球藻和聚球藻的元素比值相近,而大粒径颗粒物的C:Si比值则与硅藻的比值更为一致(图3)。鉴于原绿球藻和聚球藻是该研究海域的优势浮游植物类群,且硅藻在大粒径颗粒物中的相对丰度高于小粒径颗粒物,可以推断浮游植物群落结构是调控真光层生源颗粒元素比值的主控因素。同时,由于原绿球藻和聚球藻的C:N:P比值显著高于Redfield比值,且硅藻在西北太平洋副热带海区中的生物量很小,这也导致现场实测的区域C:N:P:Si比值高于代表全球海洋平均的Redfield比值和Brzezinski比值。此外,将本研究结果与GEOTRACES-GP16航次(东南太平洋)和GEOTRACES-GA03航次(北大西洋)的数据进行了对比。西北太平洋和东南太平洋的副热带海区中,原绿球藻和聚球藻是最主要的初级生产者,两个海域的颗粒C:N:P:Si比值接近,且均高于硅藻生产相对重要的北大西洋,进一步证实了浮游植物群落结构对海洋真光层生源颗粒元素组成的主控作用。
图3. 西北太平洋副热带海区真光层分粒径颗粒物元素比值。白色盒线代表实验室培养藻种的对应元素比值
本研究丰富了GEOTRACES计划框架下的全球海洋颗粒物浓度及其元素化学计量比值数据,为深入理解海洋生物泵过程、优化生物地球化学模型、预测海洋生源要素循环的演变提供了科学依据。
该论文共同第一作者为厦门大学2022级博士生王朝永和张衎博士,共同通讯作者为曹知勉教授和周宽波副教授;合作作者包括戴民汉教授、史大林教授、蔡毅华教授和柳欣教授,陈君慧工程师,袁忠伟博士、马轶凡博士,以及周贝硕士。该研究得到国家自然科学基金重大研究计划集成项目(92258302)和国家重点研发计划(2023YFF0805001)的联合资助。王朝永获厦门大学“南强优秀博士生培育计划”支持。
Wang, C.1, Zhang, K.1, Cao, Z.*, Zhou, K.*, Yuan, Z., Chen, J., Ma, Y., Zhou, B., Liu, X., Cai, Y., Shi, D., Dai, M., 2025. Size-fractionated C:N:P:Si stoichiometry of particulate matter in the subtropical Western North Pacific. Global and Planetary Change 246, 104732.
https://doi.org/10.1016/j.gloplacha.2025.104732
供稿|王朝永、张衎、曹知勉
编辑|朱佳
排版|陈蕾
审核|王为磊