近日,厦门大学近海海洋环境科学国家重点实验室、环境与生态学院马剑教授课题组在分析化学领域国际权威期刊Analytical Chemistry(全球自然指数(Nature Index)期刊之一,IF=7.4)发表了题为“Towards Citizen Science-Based Ocean Acidification Observations Using Smartphone Devices”的封面文章(图1)。该研究对智能手机的便携式水环境分析系统(versatile smartphone-based environmental analyzer, vSEA)做了进一步的改进,使其包含海水pH的快速测量功能(从而将vSEA升级为vSEA-pH)。vSEA-pH具有满足全球海洋酸化观测网络对“天气”目标的要求(pH不确定度小于0.02)的分析性能,已成功应用于近海海水和珊瑚系统等应用场景,且其测量结果与传统分光光度法具有良好的一致性。vSEA-pH系统适用于不同型号的智能手机,适合在公众中广泛推广,为现场测量海水pH值提供了一种简单、准确和便捷的方法,可实现基于公民科学的研究数据的收集,为海洋酸化大规模监测的实施提供有力技术支撑。

图1. 基于智能手机的便携式pH分析系统——封面图
海洋pH值是影响海水碳酸盐体系的重要变量。近期,海洋pH值被世界气象组织宣布为气候指标,并被联合国大会确定为可持续发展目标指标。
全球海洋酸化的研究和全球观测网的精确测量要求,不仅是对海水pH测量技术的考验,更是对传统分析方法的挑战。尤其是对pH值变化较大的沿海水域,既要求满足全球海洋酸化观测网“天气”目标的精度(pH不确定度小于0.02),还需实现现场快速测量。传统的台式分光光度法因仪器体积较大,不便用于现场测定,而便携的电极法仪器又精度不足。因此,开发简单便携的pH测量技术,发挥公民科学在环境监测和研究中的作用,将有助于实现对沿海地区的广泛动态监测。
公民科学项目的成功将依赖于轻巧、便携和低成本的技术,以及对科学、有效、准确的实测数据的收集能力。随着智能手机质量和性能的不断提高,其所展现出的先进成像和处理技术能够满足上述要求,为开发可靠、可广泛获取和低成本的分析工具提供了新的机会。目前,许多研究通过建立图像颜色信息与分析物之间的关系,直接基于智能手机获取的图像分析测量分析物浓度,简化设备的分析要求,使智能手机成为分析测定的主要工具。该领域取得了较大进展,但基于智能手机的高精度pH测量仍然存在挑战。
在前期工作中,研究团队开发了一种基于智能手机的多功能环境分析仪(vSEA),并成功用于营养盐的现场测定。本研究在此基础上进一步拓展,将vSEA系统推广至海水pH的快速测量,建立了vSEA-pH系统(图2)。

图2. 基于智能手机的便携式pH分析系统——图摘
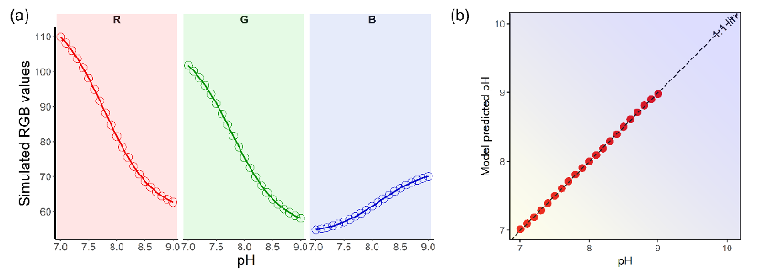
1. 在先前的工作中我们提出并验证了一种基于智能手机的通用型比色检测算法(vSEA算法),用于单波长变化参数(如硝酸盐、亚硝酸盐、磷酸盐等营养盐参数)的定量。本研究采用vSEA模型验证了vSEA算法用于多波长变化参数(pH)定量的可行性(图3)。结果表明,vSEA算法是一种既可以满足单波长参数又可以满足多波长参数定量的通用型算法,可用于pH的准确测量。

图3. (a)模拟不同pH值下的RGB值;(b) vSEA模型预测pH值
2.开发了与vSEA系统适配的微信小程序(vSEA)用于现场检测和实时数据处理与传输(图4)。vSEA小程序可内置标准曲线系数,在测量未知样本时自动计算得出样品pH值。同时,vSEA小程序可自动记录样品RGB信息、pH信息、样品采集时间和位置,并将相关数据存储在云存储数据库中,具有数据储存、数据共享、数据传输等功能。vSEA小程序让现场检测更加简便,并实现了大数据收集、共享与传输。

图4. 使用微信小程序(vSEA)进行vSEA-pH测定的流程图
3. 考察了不同型号智能手机用于pH测量的影响。结果表明,同一样品在相同条件下使用不同手机摄像头拍摄的图像,会呈现出不同的颜色信息。然而,通过建立特定设备的校准系数,可以校正这一信息差,从而实现精确的pH测量(图5)。vSEA-pH在不同的智能手机上使用时具有高重复性和稳定性,为其在公众和科学家中广泛推广和使用奠定基础。

图5. (a)使用不同型号智能手机获取的一系列相同样本的图像;(b)不同型号智能手机对pH测量的影响
4. vSEA-pH的分析性能能够满足海洋酸化观测网络对“天气”目标的需求(pH不确定度小于0.02)。此外,只需使用易于购买的2cm光程塑料瓶即可达到良好的分析性能,精密度优于0.02,准确度优于0.05,进一步降低了系统的成本,提高了将vSEA-pH系统扩展到公民科学应用的可行性。
5. vSEA-pH已成功应用于厦门沿海海水和水族馆珊瑚系统海水等不同海水样品的现场测量,测定结果与标准的分光光度法无显著性差异。vSEA-pH系统操作简单,方便携带,可实现单人现场快速完成pH测量,可推广至公民科学的应用中。
综上,本研究构建了一种基于智能手机的便携式海水pH现场快速检测装置vSEA-pH,具有成本低、简单、精度高的优点,适用于公民科学和教育应用。易于操作的vSEA系统为非专业人员参与科学研究提供了机会,促进了公民科学的实施,为全球海洋酸化的监测和研究提供技术支撑。
2023年9月15日,vSEA系统受邀在中央美术学院美术馆举办的“海洋传感器——海洋主题科普艺术展”中展出,是本次艺术展中的现场互动型展品之一(图6)。该展览将持续至2023年12月30日。

图6. vSEA系统在科普艺术展中展出
厦门大学博士生李杭茜为该论文的第一作者,马剑教授为论文的通讯作者。Todd R. Martz教授、詹力扬研究员、谭巧国教授为该研究提供了指导,参与该项工作的还有博士生郑书露。该研究得到了国家重点研发计划、福建省杰出青年基金、自然资源部海洋大气化学与全球变化重点实验室开放基金、厦门大学MEL优秀博士奖学金以及厦门大学南强优秀博士生培育计划的支持。
论文来源及链接
Li H., Zheng S., Tan Q-G., Zhan L., Martz T., Ma J. (2023). Toward Citizen Science-Based Ocean Acidification Observations Using Smartphone Devices. Analytical Chemistry 95: 41, 15409-15417.
论文链接:
https://pubs.acs.org/doi/10.1021/acs.analchem.3c03720
拓展阅读:
Fang T., Li H., Bo G., Lin K., Yuan D., Ma J. (2021). On-site detection of nitrate plus nitrite in natural water samples using smartphone-based detection. Microchemical Journal 165: 106117.
Zheng S., Li H., Fang T., Bo G., Yuan D., Ma J. (2022). Towards citizen science. On-site detection of nitrite and ammonium using a smartphone and social media software. Science of The Total Environment 815: 152613.
Li H., Fang T., Tan Q-G., Ma J. (2022). Development of a versatile smartphone-based environmental analyzer (vSEA) and its application for on-site nutrient detection. Science of The Total Environment 838: 156197.
供稿|李杭茜
审核|马剑、高光、刘志宇